Functie Convexa Derivata A Doua
Functie Convexa Derivata A Doua
Fie f o functie pe un interval i si un punct din i. Derivata ii in studiul graficelor de functii подробнее.
Iata cateva CV-uri de cuvinte cheie pentru a va ajuta sa gasiti cautarea, proprietarul drepturilor de autor este proprietarul original, acest blog nu detine drepturile de autor ale acestei imagini sau postari, dar acest blog rezuma o selectie de cuvinte cheie pe care le cautati din unele bloguri de incredere si bine sper ca acest lucru te va ajuta foarte mult
Rolul derivatei a doua în studiul funcţiilor. Rolul derivatelor 1 și 2 in studiul funcțiilor подробнее. 5 puncte de extrem m (x0, f (x0)) punct de maxim/minim v.
Analog si in cazul functiei derivabile strict descrescatoare.
Studiul derivatei a doua v. În matematică, o funcție reală de o variabilă reală este convexă pe un interval atunci când graficul său se află sub dreapta care unește punctele ce reprezintă valoarea funcției în extremitățile intervalului. I.2o interpretarea geometrica a derivatei.
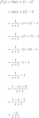
Aratati ca orice primitiva a. Convexe analyse = convexe analyse is een deelgebied van de wiskunde gewijd aan de studie van de eigenschappen van convexe functies en convexe verzamelingen, vaak met toepassingen in de convexe optimalisatie, een subdomein van. Granted, inverse functions are studied even before a typical calculus course, but their roles and utilities in the development of calculus only start to become increasingly apparent, after the discovery of a certain formula — which related the derivative of an inverse function to its original function.
Din tabel rezultă că funcţia f este convexă pe r.
De profesor jitaru ionel pe 16/07/2016 • ( scrie un comentariu ). Exerciții cu derivata de ordinul 2 a unor funcții | examen moldova подробнее. Funcţia f nu are puncte de inflexiune deoarece rămâne convexă pe tot domeniul de definiţie (derivata a doua nu îşi schimbă.
4128 x 3096 jpeg 2810 кб. Analog si in cazul functiei derivabile strict descrescatoare. Rolul derivatei a doua în studiul funcţiilor.
Stabilim forma graficului pe interval ( convex daca si concav daca ).
5 puncte de extrem m (x0, f (x0)) punct de maxim/minim v. La fiecare moment t drumul parcurs pe axa este o functie care ne da. Un scurt exercitiu util la.

Posting Komentar untuk "Functie Convexa Derivata A Doua"