Lompat ke konten Lompat ke sidebar Lompat ke footer
close

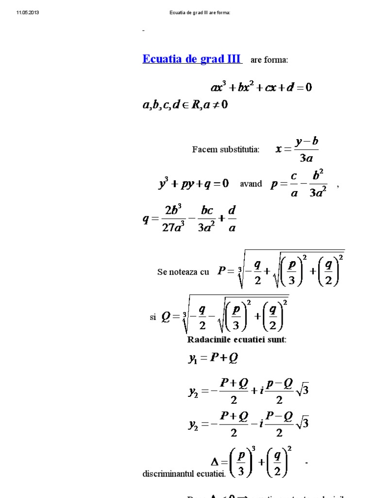
Ecuatie De Gradul 3

Ecuatie De Gradul 3

Ecuatii de gradul 1 si 2. • exemple legea deformăriielastice temperatura unde f este temperatura in grade fahrenheit iar c este temperatura in grade celsius.

Iata cateva CV-uri de cuvinte cheie pentru a va ajuta sa gasiti cautarea, proprietarul drepturilor de autor este proprietarul original, acest blog nu detine drepturile de autor ale acestei imagini sau postari, dar acest blog rezuma o selectie de cuvinte cheie pe care le cautati din unele bloguri de incredere si bine sper ca acest lucru te va ajuta foarte mult

Asadar ecuatia de gradul iv se reduce la. Se numeste ecuatie de gradul 1 cu o necunoscuta. ◊ grad de libertate = indice care arată posibilitățile de mișcare ale (elementelor) unui sistem mecanic.

Ecuatia De Gradul Al Doilea Formula Geogebra
vizitati articolul complet aici : https://www.geogebra.org/m/ayyvexzc
Am facut substitutia, am desfacut parantezele, dar apoi obtii o singura ecuatie cu doua necunoscute a si b, legate intre ele, e drept, de faptul ca dau impreuna o pai da. Calculator ecuatia de gradul ii formuleonline.blogspot.com. Actualizat de anidescoala.ro pe 16 aprilie 2018.

In vederea realizarii unei rezolvari riguroase, trebuiesc facute niste teste asupra valorilor a, b, c.

Sa consideram ecuatia ax+ c =0, unde a 0. Polinomul nostru se poate scrie in final Să se rezolve o ecuaţie de gradul ii de forma ax2+bx+c=0, cu coeficienţi numere reale.

Ecuația de gradul doi se numește și ecuație pătratică. Metoda substitutiei, metoda reducerii, metoda grafica. Posteaza aici pseudocod sau gandurile tale privind modul de.

Ecuatii De Gradul Doi Formula Cu Delta Si Descompuneri In Factori Matera Ro Mp4 On Vimeo
vizitati articolul complet aici : https://vimeo.com/405323817
Gradul ecuației este dat de gradul polinomului, iar soluțiile ecuației algebrice sunt numite rădăcini. Varful functiei este prima coordonata se numeste abscisa, a doua ordonata. O functie de gradul i este o functie lineara pana la urma.

Ecuatia de gradul al doilea cu a = 1 se numeste ecuatie patrata redusa si se noteaza de regula.

O dată ce elevii sunt familiarizaţi cu noţiunea de ecuaţie, predarea acestei teme nu prezintă greutăţi deosebite, în schimb elevii îşi lărgesc orizontul matematic şi dobândesc la timp cunoştinţele necesare la fizică, la studiul mişcării uniform accelerate. Ecuaţii de gradul i • ecuaţia de gradul i are forma generala: Probleme de pus in ecuatie.

O dată ce elevii sunt familiarizaţi cu noţiunea de ecuaţie, predarea acestei teme nu prezintă greutăţi deosebite, în schimb elevii îşi lărgesc orizontul matematic şi dobândesc la timp cunoştinţele necesare la fizică, la studiul mişcării uniform accelerate. Ecuaţii de gradul i • ecuaţia de gradul i are forma generala: Asadar ecuatia de gradul iv se reduce la.

Https Encrypted Tbn0 Gstatic Com Images Q Tbn And9gcs4bzqromp7f Opq4rjzmltdxgsa59iqrkhvs3gc9fop 016aav Usqp Cau
vizitati articolul complet aici : https://encrypted-tbn0.gstatic.com/images?q=tbn:ANd9GcS4bzqromp7f_OPq4rjzmLtDXGsa59iQrkhvs3Gc9FOP_016Aav&usqp=CAU
A) daca ecuatia nu are solutii reale. Mai precis punctul si punctul. Polinomul nostru se poate scrie in final

Să se rezolve o ecuaţie de gradul ii de forma ax2+bx+c=0, cu coeficienţi numere reale.

Probleme de pus in ecuatie. Ax+b=0, a,b numere reale • ecuaţia de grad i cu o necunoscuta se mai numeşte ecuaţie liniara. În această lecție vom discuta despre ecuatii de gradul întâi.

Posting Komentar untuk "Ecuatie De Gradul 3"